科研动态

地化所在内地核FeHx结构及其地球物理学性质研究中取得新进展

发布时间:2023-11-26

  地核中轻元素的种类和含量一直是地球科学研究的前沿和热点。轻元素决定着地核的物理性质,是理解地核动力学的关键。地核中轻元素在内外核的迁移和分布,提供了驱动地磁场最为重要的能量来源,对揭示行星演化和行星磁场等关键科学问题具有重要启示。 

H是宇宙中含量最丰富、地球内部分布最广的元素之一。行星形成理论及H在金属铁与硅酸盐相之间的分配研究中都表明,地核的形成与演化都与H存在着密切的联系。H是亲铁元素,在地核温压条件下与铁形成合金。 

中国科学院地球化学研究所张飞武研究员带领团队坚持开展内地核FeHx结构及其地球物理学性质的理论地球化学系统性研究,并持续取得多项新突破。研究成果分别发表在《Geophysical Research Letters》、《American Mineralogist》和《Geochemistry, Geophysics, Geosystems》等地学国际权威期刊上。 

课题组通过开展量子化学原子计算模拟技术,从微观理论角度建立了FeHx合金的微观结构及其结构相图,模拟其在地球内核条件下的相关弹性,波速性质及其在内外地核之间的分配行为,从而确定H在地球内外地核存在的可能性,并尝试确定挥发分H在地核内存在的数量及其对地核温度的限制。 

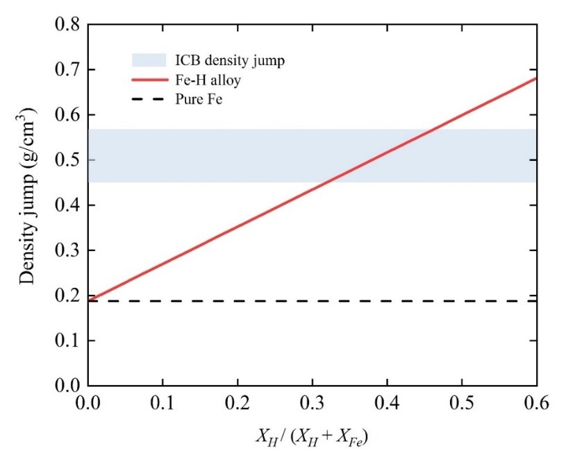
研究发现面心立方(fcc)结构的FeH合金能稳定存在于地核内部,从而为内地核地球物理学研究提供了新思路。进一步对FeHx合金体系进行磁性研究,发现H使得Fe的磁性稳定到更高的压力区间。高压下FeHx合金磁性坍塌会引起其晶格体积膨胀 VH骤减~30%。基于此,根据地核密度缺失,重新估算了内外核最大的H含量分别为~0.10-0.34 wt%~0.54-1.10 wt%。显明地核可能是一个潜在的巨大储水库,高达数十倍之多的海洋水在地核形成时可能被带入了地球内部。此外,地核内挥发分H的存在可以使地核温度降低~300-500 K 

研究还发现H在地核条件下扩散速率高达~10-8 m2/s,与液态扩散系数相当,呈现出超离子态。Hfcc-Fe晶格中超离子态转变温度要比在hcp-Fe晶格中高~500 KH浓度和温度对内核Fe结构具有重要影响。通过对超离子态fcc-FeH离子电导率的计算,排除了其对地核整体电导率的贡献。然而,超离子态H能显著降低FeHx合金的弹性波速,从而解决了长期困扰的挥发分H不能满足地震学观测的困惑。 

通过对内地核FeHx结构及其地球物理学性质的系统性研究,对理解和探索地核结晶分异,挥发分分离和早期地球演化历史具有重要的地球化学意义。结合地球物理学观测数据,对地核结构、组分、含量和分配等提供理论数据,为更全面精细的描绘内核结构模型, 探索地球早期的形成演化历史具有重要的科学意义。 

论文信息及链接: 

(1)       Yang, H., Dou, P., Xiao, T., Li, Y*., Muir, J. M. R., & Zhang, F*. (2023). The Geophysical Properties of FeHx Phases Under Inner Core Conditions. Geophysical Research Letters, 50, e2023GL104493. https://doi.org/10.1029/2023GL104493 

(2)       Yang, H., Muir, J. M. R., & Zhang, F*. (2023). Volumes and spin states of FeHx: Implication for the density and temperature of the Earth's core. American Mineralogist, 180(4), 667–674. https://doi.org/10.2138/am-2022-8237 

(3)       Yang, H., Muir, J. M. R., & Zhang, F*. (2022). Iron hydride in the Earth's inner core and its geophysical implications. Geochemistry, Geophysics, Geosystems, 23, e2022GC010620. https://doi.org/10.1029/2022gc010620 

论文附图: 

   

  1 基于内核边界(ICB)处的密度跳变约束地核H含量 

    

   

  2 内核条件下FeHx合金的密度(a)、弹性模量(b)和地震波速(c)特征 

矿床地球化学国家重点实验室张飞武课题组/供稿 

  2023.11.27 


附件下载: